

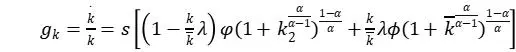
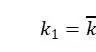
”(事实上,
的设定在林毅夫等(2006)全文中始终被保持)。而实际上应是
,这意味着林毅夫等(2006)附录证明6和7中的所有符号
”(此处已修正上一处数学疏忽,将林毅夫等(2006)中的(A10)式的符号
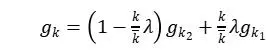
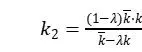
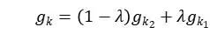
代表实施赶超战略的发展中国家的赶超部门的要素禀赋提升速度,代表非赶超部门的要素禀赋提升速度,
(20)
(21)
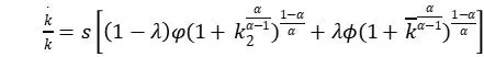
(显然,
),同时,“赶超部门”所造成的技术上的赶超劣势
,而“非赶超部门”中存在的技术学习红利(后发优势)的影响度为
,大于其所使用的资本比例
和
。这会关系到经济增速与赶超部门的资本使用比例的关系的判定,即
值的正负。
始终小于0,因此,无论改革开放前后,都应该执行林毅夫提倡的“比较优势战略”。
在
上单调递增,如图1所示:
区间,
是否大于0?图1符合比较优势陷阱论的判断:一个后起的发展中国家在其资源禀赋结构较低(与同一时期的发达国家差距较大)的阶段,赶超战略可提供高于比较优势战略的赶超速度。而在追赶的中后期,资源禀赋结构得到较大的提升(虽然仍然低于同期发达国家)时,执行比较优势战略的收益大于执行赶超战略,应通过改革及时进行发展战略调整。此外,由于吴文、周绍东(2024)说明图1中的情形2是更典型的情况,因此即使在推行比较优势战略的阶段,也并不意味着要将“去赶超”进行到底,在
阶段,比较优势战略的促发展效力会下降。其实践指向是:市场化条件下的独立自主发展。

















【昆仑策网】微信公众号秉承“聚贤才,集众智,献良策”的办网宗旨,这是一个集思广益的平台,一个发现人才的平台,一个献智献策于国家和社会的平台,一个网络时代发扬人民民主的平台。欢迎社会各界踊跃投稿,让我们一起共同成长。
电子邮箱:[email protected]
更多文章请看《昆仑策网》,网址:
http://www.kunlunce.cn
http://www.kunlunce.net
1、本文只代表作者个人观点,不代表本站观点,仅供大家学习参考;
2、本站属于非营利性网站,如涉及版权和名誉问题,请及时与本站联系,我们将及时做相应处理;
3、欢迎各位网友光临阅览,文明上网,依法守规,IP可查。
内容 相关信息
北大、武大学者联合证伪林毅夫对发展中国家赶超战略的污名化判断
2024-03-24北大、武大学者联合证伪林毅夫对发展中国家赶超战略的污名化判断
2024-03-24胡懋仁|实现中华民族伟大复兴的宏图伟业,离不开广大发展中国家的支持和帮助
2023-07-22• 昆仑专题 •
• 高端精神 •
• 新征程 新任务 新前景 •
• 习近平治国理政 理论与实践 •
• 国策建言 •
• 国资国企改革 •
• 雄安新区建设 •
• 党要管党 从严治党 •
侯立虹:也谈“无官不贪”与“无官不想贪”