|  站内搜索:
网站首页 > 学术探索 > 科技前沿 > 阅读信息
杜伟:后香农时代,华为提出10大数学挑战问题
点击:  作者:杜伟    来源:人工智能学家  发布时间:2020-09-11 10:46:41

 

信息论之父克劳德 · 香农。

 

后香农时代的通信技术会如何发展?又有哪些值得业界关注的数学问题呢?在上月底结束的长沙「数学促进企业创新发展论坛」上,华为董事、战略研究院院长徐文伟抛出了后香农时代信息产业发展面临的了十大挑战数学问题。

 

提到香农定理,通信领域的小伙伴应该是非常熟悉的了,可称得上是该领域的「金科玉律」。1948 年,香农博士在《通信的数学原理》一书中提出了这一著名的定理。此后,香农定理成为现代信息论的基础理论,在通信和数据存储领域得到了广泛应用,并为今天通信的发展打下了坚实的理论基础。

 

70 多年过去了,通信行业的发展依然离不开基础数学理论的支撑。各大科技公司也纷纷采取自己的方式积极推动数学的发展和吸引数学人才,比如阿里巴巴举办的年度全球数学竞赛等。

 

华为也不例外。在全球化战略发展中,华为也充分彰显出了其对数学的重视。华为先后在俄罗斯和法国设立了数学研究所,旨在加强基础研究,特别是数学算法方面的研究。这些举措为华为的技术发展提供持续不断的理论源泉。

 

同样,在国内,华为与众多的数学领军专家开展了深度合作。华为与张平文院士、徐宗本院士、李安民院士都建立了数学联合实验室,并且与高校和科研机构有大量合作课题。

 

据华为心声社区报道,不久前,在湖南长沙由中国工业与应用数学学会举办的「数学促进企业创新发展论坛」上,华为董事、战略研究院院长徐文伟做了主题为「后香农时代,数学决定未来发展的边界」的演讲,其中谈到了华为对数学的重视,并提出了后香农时代信息产业发展面临的了十大挑战数学问题。

 

 

智能社会、5G 与香农极限

 

徐文伟在演讲中说道,基于七十多年前的香农定理,信息产业才有了五十多年的高速发展,并发明了一代又一代的通信产品。在未来二三十年里,人类社会将进入万物感知、万物互联和万物智能的智能社会,并由此催生新的新的工作、生产和生活模式,这些都与七十年前香农时代发生了根本性的变化。

 

与此同时,随着社会进入 5G 时代,几乎达到了香农定理的极限。可以说,当前的创新主要是把几十年前的理论成果通过技术和工程来实现。

 

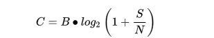
何谓香农极限?这是通信信道容量在理论上的一个极限值。我们可以先来看下香农第二定律,它表示信道中的极限信息传输率和信道能力,被奉为现代通信的「金科玉律」,公式表示如下:

 

 

 

其中 B 表示信道带宽,S/N 表示信噪比,它们成为了决定网速上限的两个基本因素。

 

根据这一公式,在相同信噪比的情况下,增加信道带宽成为决定 5G 网速的主要因素。对于这种提升信道带宽的方式,有些业内专家称「5G 之后再无 G」,这意味着,未来通信的发展只剩下量的扩增,并无实质的技术进步。

 

此外,徐文伟还表示,随着智能社会的到来,通信场景由以往的人与人通信为主向人与机器、机器与机器通信为主转换,并相应地出现人与人通信主导的时代没有考虑到的场景和问题。

 

这些新场景、新问题和新挑战,我们可以称进入了后香农时代。在后香农时代,不仅需要理论的突破和工程技术的发明,更需要数学家们发挥核心作用。

 

所以,华为发布了后香农时代面向数学的十大挑战问题,包括利用更少的计算和存储资源获得更高的性能、需要暴力计算的场景以及采用数学算法和软件优化等减少资源消耗等等业界难题。

 

十大数学挑战问题

 

挑战问题 1:有损压缩的极限问题(语义信息论)。

 

 

 

挑战问题 2:突破信源编码理论,挑战无损信源压缩极限。

 

 

 

挑战问题 3:网络基本业务模型问题。

 

 

 

 

挑战问题 4Massive MIMO 容量域。

 

 

 

挑战问题 5:非线性信道补偿问题。

 

 

 

 

挑战问题 6:大规模通信网络的最优控制问题。

 

 

 

 

挑战问题 7:反问题高精度快速求解。

 

 

 

挑战问题 8:高性能的纠错码 - 代数几何(AG)码。

 

 

 

挑战问题 9DNN 的可解释性。

 

 

 

挑战问题 10:网络级流量矩阵近似计算。

 

 

 

最后,向机器之心的读者们发问一句,这些问题你怎么看?

 

参考链接:

https://mp.weixin.qq.com/s/IfpE-Ynfui4KqO8WynLing

https://www.cnbeta.com/articles/tech/1026255.htm

http://hebei.news.163.com/20/0519/19/FD0UFS8D04159CDF.html

http://www.kepuchina.cn/tech/info/201906/t20190626_1071991.shtml

 

来源:机器之心

责任编辑:向太阳
特别申明:

1、本文只代表作者个人观点,不代表本站观点,仅供大家学习参考;

2、本站属于非营利性网站,如涉及版权和名誉问题,请及时与本站联系,我们将及时做相应处理;

3、欢迎各位网友光临阅览,文明上网,依法守规,IP可查。

昆仑专题

高端精神

热点排行
  • 一周
  • 一月
  • 半年
  • 建言点赞
  • 一周
  • 一月
  • 半年
  • 图片新闻

    友情链接
  • 186导航
  • 红旗文稿
  • 人大经济论坛
  • 光明网
  • 宣讲家网
  • 三沙新闻网
  • 西征网
  • 四月网
  • 法律知识大全
  • 法律法规文库
  • 最高人民法院
  • 最高人民检察院
  • 中央纪委监察部
  • 共产党新闻网
  • 新华网
  • 央视网
  • 中国政府网
  • 中国新闻网
  • 全国政协网
  • 全国社科办
  • 全国人大网
  • 中国军网
  • 中国社会科学网
  • 人民日报
  • 求是理论网
  • 人民网
  • 备案/许可证编号:京ICP备15015626号-1 昆仑策研究院 版权所有 举报邮箱:[email protected]
    携趣HTTP代理服务器