|  站内搜索:
网站首页 > 时事聚焦 > 深度评析 > 阅读信息
徐鸿鹄:新冠病毒来源之最后一块拼图
点击:  作者:徐鸿鹄    来源:SerendipityCamp  发布时间:2020-02-26 09:36:45

 

 1

流行病学中断的线索

于新型冠状病毒的来源,长久以来,缺乏直接证据。

外界只能另辟蹊径。一方面通过科学界的论证否定了病毒人工编辑的可能,另一方面,石正丽团队,管轶团队的独立研究也从基因学的角度揭示了云南中华菊头蝠和马来穿山甲与新型冠状病毒之间的进化关系。

但这些证据都很弱,我们仍然无法依靠它们推断出新型冠状病毒在人畜共患阶段,到底在哪里发生了什么样的变异,从而带来了病毒不可逆转的爆发。

218号,BBC发表了一篇重磅采访。这是病情爆发以来,我们有史以来第一次通过正规媒体得到的关于病毒源头的采访报道。

 

报道中提到:

一名曾参与救治目前公众所知的首例新冠病患的医生对BBC说,这名病患是一名70多岁患病在家的脑梗塞患者。” “他住在离海鲜市场四五站(公交站)远的地方”“而且因为他患病,所以基本上不出门。

我们好奇的是,一位患有脑梗塞和老年痴呆的70岁的老人,长期呆在家中,是如何感染到病毒的?明确的是,他没有去过海鲜市场。

 

我们此前解读的一篇来自武汉金银潭医院《柳叶刀》的论文,也曾提到了这位病人:该病患的家人在其发病后,均未出现发烧或呼吸系统症状,其与后来的病人间也没有发现流行病学联系。在前四位发病的病人里,有三位都跟海鲜市场没有关系。而在早期的41例患者当中,确定有14例没有接触过华南海鲜市场。

 

也就是说,这位老人在他发病10天后,才另有3人出现相关症状,其中2人也没有华南海鲜市场暴露史。

既然老人没有去过华南海鲜市场,他又是如何感染的呢?

似乎只有两种可能:

那么老人要么是在家中接触过野生动物,要么老人是在家中被人传染的。

凭直觉,我们也会觉得后者更靠谱一些吧。如果真的是这样,老人就一定不是第一例患者,而是人传人导致患病的,那又是谁将病毒传给了老人呢?

线索到这里就中断了。

2

种群遗传学中断的线索

研究显示,早期8个病人身上分离出来的病毒样品中测到的基因序列几乎是一致的——这可能意味着几个人同时感染了病毒,而不是一个人传染到了多个人——病毒似乎只有一个来源,而且,从发现开始就已经呈现多源性的特点,海鲜市场似乎只是病毒爆发后的一个取样点而已。

这也和武汉金银潭医院副院长黄朝林的判断一致,此前在接受中国媒体《财新网》采访时他曾表示:从现在整个发病情况来看,海鲜市场已经不是唯一的暴露源……其是多源性的。。但他认为,该病毒有较大可能依然来源于野生动物。

219日,来自中国科学院西双版纳热带植物园的郁文彬副研究员联合多个机构对比现存的93 个新型冠状病毒样本基因组数据后,对病毒的起源研究带来了全新的视角。

 

作者郁文彬采用的是一种基于种群遗传学的分析方法。

在该体系下,基因型被用来对病毒进行溯源,即单倍型——同一个单倍型的患者可以被认定为来自同一个传染源头。比如,H1单倍型就与华南海鲜市场来源相关,对应了19个样本。

这篇论文一共采信了93个新冠病毒样本,根据基因测序共识别了120个变异位点。如果按照单倍型来分类,93个样本分属于58个单倍型。

 

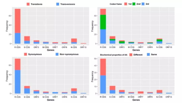
按照转换与颠换,密码子变异位置,同义/非同义突变,氨基酸异同等对跨越8个编码区的120个变异位点进行了统计。从人体病毒样本对比来看,研究人员发现新型冠状病毒基因组没有发生重组事件,93 个基因组之间有 120 核苷酸发生了突变(0.41% 序列长度),并均匀分散在 10 个编码区。同时,120 个突变的核苷酸关联了 119 个氨基酸密码子,79 个密码子(65.83%)改变了氨基酸类型,其中42 个(53.17%)还改变了氨基酸的理化性质。新冠病毒基因组尚未发生重组事件的结论是一个好消息,也就是说还没有产生新的全新的病毒毒株。

 

58 个单倍型中,H13 H38 是比较古老的单倍型,两者通过单倍型 H3 衍生出了单倍型 H1。换句话说,进化的主干有两个:

H13H3H1

H38H3H1

不论是哪个进化路线,与华南海鲜市场有关联的患者样品单倍型都是较晚出现的 H1 及其衍生,而一份来自武汉样品的比H1古老的单倍型 H3 则显示与华南海鲜市场无关(样本EPI ISL_406801)。

在华南海鲜市场之外发现单倍型 H3 ,似乎也就意味着,华南海鲜市场并非病毒的源头——可能是H3的携带者去了华南海鲜市场,并将那里变成了病毒传播的爆发点。

从时间上推断,此流行病学方法得出,新冠病毒在 2 12 日之前发生过 2 次明显的种群扩张。最早的一次发生在 12 8 日左右,按照这个推论,那么病毒可能在 12 月初,甚至 11 月下旬即已经开始有人际传播,随后带来了华南海鲜市场疫情的爆发。

值得注意的是是,武汉的样本中没有检测到H13H38的单倍型。这可能是由于我们对早期冠状病毒识别不足导致的:H13H38的已知样本只采自几家定点医院,采集时间也仅仅涵盖2019 12 24 日和 2020 1 5 日的区间。

虽然 H13 H38分属不同的进化源头,但两两之间只有 1 个核苷酸位点的微弱差异。H13样本来自深圳(广东首例),H38的样本来自美国华盛顿州(美国首例)。H13H38的的旅行记录表明, 2019 12 月底至 2020 1 月初他们都来过武汉,但没有去过华南海鲜市场。

 

红圈所示样本与华南海鲜市场相关

不难发现,H13H38H3病例作为H1先辈,没有一例与华南海鲜市场有关,但却都有武汉的早期旅行史。

基因组学证据有力地支持了华南市场并非是SARS-CoV-2的诞生地的这一说法。

而关于病毒的源头,这篇论文却无法给出确切的结论。原因在于,仍然缺乏早期武汉出现的H13H38样本来推断疫源点。

我们只能猜测:单倍型H13H38可能通过一个中间宿主与蝙蝠冠状病毒 RaTG13(石正丽团队在云南中华菊头蝠体内发现的)产生关联,这个被命名为 mv1的中间载体可能是一个祖先单倍型,也可能来自中间宿主或者零号病人

可惜由于因为病毒的变异太快,最原始的单倍型已不太可能存在于现今的患者的体内。或许,这个强大有力的追溯线索也已经断掉了。

3

分子生物学的间接线索

论是田野调查还是科学实证,我们已经从多个消息来源当中锁定,一定肯定和确定,海鲜市场并非此次病毒出现的源头,必有其它来源。

这个来源是哪里呢?

在此前的两篇文章当中,我们已经从技术的角度详尽地剖析了病毒的可能来源。

由于缺乏直接证据,我们只能通过排除法来过滤选项:

病毒不是来自人工基因编辑(发现了新冠特有的RBD基序天然携带者马来穿山甲,和关于Furin裂解位点和O-聚糖的研究,以及突变氨基酸与核苷酸比例,无内切酶位点,定点突变而非拼接突变等多个证据)

病毒由人工干预从生物体外培养的可能性也很小(比如找到合适的前体病毒,比如O-聚糖的出现通常需要免疫系统的参与)

病毒在实验动物体内定向培养是有可能的,但条件也很苛刻(实验物种具有极高的种群密度,从而让自然选择迅速发生,以及宿主需要具有与人类同源的ACE2基因)

已知的舟山/云南蝙蝠(石正丽团队),马来穿山甲(管轶管队)体内发现的冠状病毒并非此次病毒的来源(它们与新冠病毒之间还有几十年的自然进化距离,而新冠病毒的出现是近期发生的)

基于以上,我们可以推断出以下两种可能:

1.武汉新型病毒是与蝙蝠冠状病毒有关的自然冠状病毒,不是重组病毒。

2.武汉新型冠状病毒一种近期才出现的重组病毒,来自自然重组或人工诱导。

需要提及的是,重组是通过破坏和结合核算分子来交换遗传物质,从而产生新基因组恶化的过程——是复制和转录等基本自然过程之一,可以用来描述病毒的自然重组。RNA病毒的天然重组是冠状病毒自然进化的一个要素。

不管病毒是否以及如何重组,在病毒进入零号病人体内之前,必然存在一种目前公共未知的动物宿主携带的新型冠状病毒的直系高度近似毒株(野生动物或是实验室活体标本?)。

我们的怀疑方向落在了这两个选项上:

野生病毒天然外溢

病毒增强功能研究

推演到这里,我们只保留了最大可能性的选择。

要知道,每经过一层推理,结论的可靠性就要打一个折扣。

但这个推演还是有必要的,因为这可以窄化我们的选择,让我们在值得关注的方向上投入更多精力寻找证据。

我们继续深入探索。

4

种群自然调查的间接线索

蝠以携带一些危险的病毒而闻名,特别是那些有可能通过所谓的溢出效应引发全球疫情的未知病毒。

非盈利研究组织生态健康联盟的疾病生态学家凯文奥利瓦尔,就曾在全世界捕捉蝙蝠并采集其体液样本。奥利瓦尔的发现令人震惊:我们在中国进行的所有采样中,总共发现了约400种新型冠状病毒的证据。

这意味着有400名潜在候选者会引发疫情。毕竟早在2002年,一种冠状病毒就在中国引起了大规模的爆发——严重急性呼吸综合征(SARS)。而这次爆发就是一种与SARS相关的冠状病毒自然外溢引起的。

 

如果你对以上数字感到印象深刻,就能够对我国的生物多样性有所洞察。

科学家们此前认为自然病毒的外溢是罕见的——蝙蝠冠状病毒一般不能感染人类,而是分成两步:

第一步:一种蝙蝠冠状病毒感染一些与人类有着比蝙蝠更密切接触的动物物种。

第二步:病毒进入这种动物体内,获取新的基因密码并感染人类。

但蝙蝠调查抽样项目发现,这两个步骤不是必要的。

比如,研究人员发现的一种蝙蝠冠状病毒与SARS病毒的基因非常接近。当他们把它放在有人体细胞的培养皿里后,病毒成功地感染了人体细胞。

这里所展示的是,这些蝙蝠种群中与非典相关的病毒有可能直接进入人类细胞,不需要感染另一宿主的额外变异步骤。

换句话说,引发新疫情的途径可能要直接得多。

因此,我们仍不能排除蝙蝠直接感染人类的选项。

但这个证明仍然是不充分的。

问题是,有证据表明这些病毒正在感染现实世界中的人吗?

因此,研究人员开始从居住在他们研究过的蝙蝠洞附近的中国村民身上采集血液样本。研究结果表明,已经发现冠状病毒扩散到人类体内的证据:

 

事实上,人们甚至可能有症状,但很可能被忽视了。他们都是潜在的未被发现的小规模疫情。

在奥利瓦尔看来,这一发现是一个巨大的危险信号:

有信号表明,这些与非典有关的病毒即使没有引起任何明显的疾病,也会侵入人体。

这并不稀奇,毕竟很多人都在无意中接触了蝙蝠唾液、尿液或粪便。

 “在一些地方,人们家里会发现蝙蝠栖息。很多人都说:有一次一只蝙蝠飞进我家,我杀了它。”“人们甚至游览蝙蝠洞——在夏天,洞穴是一个特别受欢迎的地方,那里可以缓解炎热。当科学家去洞穴取样时,通常会看到人们留下的啤酒瓶和水瓶。

并非所有这些接触都会引发致命的流行病。但这些接触越频繁,病毒溢出的机会就越大。这些间接证据都表明,我们不能排除感染了数万人的当前病毒疫情——可能直接来自蝙蝠。

5

病毒增强研究的间接线索

然外溢的选项之外,曾在零号病人文章中提到的病毒功能增强研究又回到了我们的视野内。

2015119日,美国北卡罗来纳大学教堂山分校的传染病学家Ralph Baric团队在国际顶级学术期刊Nature Medicine 杂志发表了一篇极具争议的研究论文。

 

该研究使用SARS冠状病毒骨架和来自中华菊头蝠的SHC014冠状病毒刺突蛋白进行工程化改造,在实验室创造了一种嵌合病毒,这一冠状病毒可以感染人的呼吸道细胞,并能引起小鼠疾病。

该研究表明,SHC014冠状病毒的表面蛋白具有结合和感染人类细胞的能力——这证实了人们对该病毒(或蝙蝠中发现的其他冠状病毒)可能无需经过中间宿主就能直接感染人类的担忧。

Baric认为,如果没有这些实验,自然界当中的SHC014病毒就仍然不会被视为人类真正威胁——因为此前,科学家曾根据分子模拟和其他研究认为,它不应该感染人类细胞。而这项研究的最大意义,就是发现了这个潜在的风险。

尽管大部分蝙蝠身上分离出来的冠状病毒都无法与人类的关键受体结合,但SHC014并不是第一个发现的能够结合人类受体的病毒。此前的2013年,中国研究人员曾首次在同一蝙蝠种群中分离出了其它的类SARS冠状病毒,并显示出与ACE2受体结合的能力。

 

一直有其他病毒学家质疑这个研究方向:功能增强研究是否增加了病毒感染的风险。巴黎巴斯德研究所的病毒学家西蒙·温霍布森(Simon Wain Hobson)就指出:研究人员已经创造出一种新型病毒,这种病毒在人体细胞中生长得非常好”“如果病毒逃走了,没人能预测它的轨迹。

罗格斯大学的分子生物学家和生物防御专家理查德·埃布赖特(Richard Ebright)也认为:这项工作的唯一影响是在实验室中创造出一种新的非自然风险。

这场争论实质上关于是否允许实验室研究增加危险病原体的毒力、易传播性或宿主范围的这个话题引发的,即所谓的功能获得研究。

然而,尽管这项研究存在争议,但目前没有证据显示,新型冠状病毒SARS-CoV-2是一种人造嵌合病毒。提及这段历史,我们只是想说明:以上两个发现的存在,更加强化了这样一种怀疑:即蝙蝠冠状病毒能够直接感染人类(而不是首先需要在中间动物宿主中进化)。人类被蝙蝠感染可能比先前认为的更常见。

另外,Baric和他的团队从其基因组序列重建了野生病毒,发现它在人类细胞培养中生长不良,在小鼠中没有引起明显的疾病。这项实验表明,野生蝙蝠体内的病毒需要正确地进化才能对人类构成任何威胁——这种变化可能会自然地发生,尽管几率非常小,但不代表永远不会发生。

SARS-CoV-2的出现,已经确凿无疑地表明,这个小几率事件已经发生——这种病毒已经突破了上述自然进化屏障,能够附着在人类的ACE2受体上,有效地感染人类的呼吸道细胞。

人类的运气已经被用光了。

多个团队(包括管轶团队)最新的研究表明,除SARS病毒的ACE2受体结合蛋白构型之外,人们还发现了穿山甲体内一种能与ACE2受体产生更强附着的天然蛋白构造,而这种构造与SARS-CoV-2病毒在ACE2结合的关键位点上100%地一致。

 

 

越来越多的自然和非自然证据已经浮现,似乎,我们即将找到病毒来源信息的最后一块拼图。我们的终极疑问是,这块拼图究竟是什么,是由谁安放到位的,是大自然的无意识行为?是人类生活对生物种群长期的定向干预促成的?还是说,另有第三种可能?

叔本华说过:所有谬误的本质都是从结论到根据。

对于不知道的事情,我无话可说。对于知道的事情,我不去和稀泥。

也许只有这样,才能稍微清醒一些吧。

责任编辑:向太阳
特别申明:

1、本文只代表作者个人观点,不代表本站观点,仅供大家学习参考;

2、本站属于非营利性网站,如涉及版权和名誉问题,请及时与本站联系,我们将及时做相应处理;

3、欢迎各位网友光临阅览,文明上网,依法守规,IP可查。

昆仑专题

热点排行
  • 一周
  • 一月
  • 半年
  • 建言点赞
  • 一周
  • 一月
  • 半年
  • 图片新闻

    友情链接
  • 186导航
  • 红旗文稿
  • 人大经济论坛
  • 光明网
  • 宣讲家网
  • 三沙新闻网
  • 西征网
  • 四月网
  • 法律知识大全
  • 法律法规文库
  • 最高人民法院
  • 最高人民检察院
  • 中央纪委监察部
  • 共产党新闻网
  • 新华网
  • 央视网
  • 中国政府网
  • 中国新闻网
  • 全国政协网
  • 全国社科办
  • 全国人大网
  • 中国军网
  • 中国社会科学网
  • 人民日报
  • 求是理论网
  • 人民网
  • 备案/许可证编号:京ICP备15015626号-1 昆仑策研究院 版权所有 举报邮箱:[email protected]
    携趣HTTP代理服务器