|  站内搜索:
双石:关于对待“福建事变”毛泽东是什么态度的问题
点击:  作者:双石    来源:双石茶社微信号  发布时间:2024-01-21 10:19:19

 

关于毛泽东的军事战略方针方面的问题,高华实在难以找出“错误”和罪过来。

 

于是他不屈不挠地在《红太阳是如何升起来的》书提出了一个似是而非的问题来,闪烁其辞地暗示乃至明示毛泽东没有那么“伟光正”,在应对“福建事变”的态度不是“大陆官方史籍”中宣传的那么正确光辉。其引证的依据有两个,一个是他在书中所称的“‘福建事变’失败后的193312425日毛泽东在中华苏维埃共和国第二次代表大会所作的《政府工作报告》”:

 

至于福建所谓人民革命政府,一位同志说他有一点革命的性质,不完全是反动的,这种观点是错误的。……人民革命政府只不过是部分统治阶级以及在共产主义和反动政治之间用“第三条道路”的虚伪口号来欺骗人民的鬼把戏而已[1]

 

关于这段不过百余字的文字,高华在《红》引证出处193481日《红色中华》,但笔者查询了该日的《红色中华》,没有这个报告也没有这段话。查阅毛泽东在“二苏”大会上所作《中华苏维埃共和国中央执行委员会与人民委员会对第二次全国苏维埃代表大会的报告(19341月)》,也没有这句话,而是这样一段话:

 

这里应该指出:当着帝国主义国民党进行六次“围剿”之际,福建出现了一个“人民革命政府”。这个“人民革命政府”的出现,表现国民党系统的进一步的破裂。由于苏维埃运动的祎大胜利,与国民党在全国民众面前破产,使得中国反动统治阶级的一部分不得不采取新的方式,企图于国民党道路与苏维埃道路之外寻找第三条道路,以保持反动统治阶级垂死的命运。然而这一企图只是徒劳,因为如果“人民革命政府”这一类的组织不从真正中国人民利益出发,不坚决承认苏维埃政府还在去年四月间即已宣布了的三个条件,而与苏维埃政府订立并真正执行反帝反国民党的协定,而是止于欺骗与讲空话。那么,广大的革命民众不会于“人民革命政府”与国民党政府之间采取任何不同的态度,它必然要遭受悲惨的失败也是可以预言的[2]

 

与高华引用的这段话相仿的,是毛泽东在“二苏”大会结束时所作的报告:《动员广大群众参加革命战争,以革命战争打倒帝国主义国民党!——关于中央执行委员会报告的结论》,其中的一段话被高华篡改得面目全非后引用(还引错了出处)——毛泽东的原文是这样的:

 

有一个同志,对于福建的人民革命政府说他带有多少革命性,不是完全的反革命,这种意见也是不对的。我在报告中已经指出:人民革命政府的出现是反动统治阶级的一部分,为着挽救自己将死命运而起的一个欺骗民众的新花样,他们觉得苏维埃是他们的仇敌,而国民党这块招牌又太烂了,所以弄个什么人民革命政府,以第三条道路为号召,这样来欺骗民众,没有丝毫革命意义,现在的事实已经证明了。[3]

 

毛泽东在说这番话的时候,“福建人民革命政府”已经失败,跟年前中央领导层讨论要不要援助他们根本就没有任何关系。高华费尽心机抓挠来的这根“稻草”,当然就没有任何证据意义——既证不了毛泽东的“错误”,也成不了高华的“杀器”。更何况,对“福建人民政府”定性的调子是当时中共中央统一的口径——同时期博古等也有相类言论,是不是就能证明他们跟毛泽东从来就是一致的,没有任何分歧?

 

高华的另一个证言来自叛徒龚楚所著《我与红军》(香港南风出版社民国四十三年一月初版(19541月))——也不过百余字

 

据与毛关系一度十分密切、曾担任赣南军区参谋长的龚楚回忆,在领导层讨论陈铭枢、蔡廷楷等人提出的要求与红军联合行动的会议上,毛主张采取谨慎的方法,提出派不重要的代表到福建去与李济深等先进行试探的会商”,反对周恩来等提出的“立即派大员到福州去举行正式谈判”的意见[4]

 

龚楚《我与红军》的原文是这样的:

 

事情的发生,完全是为了福建人民政府的一桩公案。当蔡廷锴、蒋光鼐等在福建成立人民政府的时候,中共中央除派潘汉年、张云逸前往福州联络外,党中央政治局会议,曾讨论如何援助福建人民政府,应付国军对福建进攻的问题。当时,张闻天、秦邦宪、周恩来等,都在主张应速派第一、第三两军团赴福建,与十九路军并肩作战。因为红军的增援,足以坚定十九路军的同志,并协助肃清其内部的动摇分子。但毛泽东坚决主张慎重行事,不宜轻举妄动;并主张先请十九路军的配合红军,消灭驻闽西的国军刘和鼎部,红军方能援闽;否则,即使要派援军,也得待十九路军表现坚决抵抗国军进攻的行动,我军方可适时增援。因此,积极援闽案便搁了下来[5]

 

 

然而,在20多年后出版的《龚楚将军回忆录》(香港明报月刊社19785月初版)却又换成了另外一个说法:

 

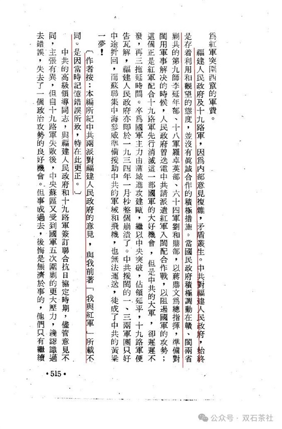
那时国军对中央苏区的围剿已于十月开始,中共领导阶层人物正在徬徨之中,突接到这个天上飞来的佳音,朱德、毛泽东等,及所有同志均欢喜若狂,一面款待来使,一面立即召开会议,讨论应付办法。当时在会议中发生了两个不同的意见:一个是左倾路线的教条主义者的国际派,对福建人民政府缺乏信心,主张派一不重要的代表到福州和李济琛等先进行试探式的会商另一个是以毛泽东为首的老红军干部派,主张立即派大员到福州举行正式谈判,并希望能够拉紧福建人民政府,使它能跟着中共的政策走,以粉碎国军的五次围剿[6]

 

 

两个说法,截然相反,以哪个为准呢?龚楚自己给出了回答:

 

作者按:本编所纪中共两派对福建人民政府的意见,与我前著《我与红军》所载不同。是因当时记忆错误所致,特在此更正[7]

 

 

以龚楚当时的地位,是够不上中央最高层的会议的,就是他不更正,也是难以采信的。

 

看来金冲及老先生对高华“看的材料太少”的评判真是十分到位:龚楚后一个回忆录是1978年出版的,卯足了劲儿要搜寻“被大陆官方史籍掩饰的毛泽东罪过”的高华先生,却固执地坚持要采信龚楚的第一个回忆录《我与红军》中的说辞:

 

龚楚在1978年出版的《龚楚将军回忆录》中修正了他在《我与红军》一书中有关苏区核心层对福建事变争论的叙述。龚楚称他前书有误,“是因当时记忆错误所致”。在《龚楚将军回忆录》中,毛泽东被改为“主张立即派大员到福州举行正式谈判”。笔者认为,龚楚的更正应予以重视,但他在1954年出版的《我与红军》中的有关叙述,的确可从另外的资料得到证实,故本书倾向于接受前一书的论断,并认为此一问题的彻底澄清还有赖于新资料的发现。参见《龚楚将军回忆录》,页513515 [8]

 

所谓的确可从另外的资料得到证实”,不过是高华前头引述的毛泽东在二苏大会上的报告——还篡改了原文也引错了出处。就这样了,高华仍然不惜生造出龚楚《红与红军》原文根本没有的毛、周意见的直接引语:“派不重要的代表到福建去与李济深等先进行试探的会商”(毛)立即派大员到福州去举行正式谈判”(周)——用《龚楚将军回忆录》中更正后的语句,互换了人物及版权后嵌入了高华所引《我的红军》的文字。

 

这是在治史论史?还是在玩儿文字游戏以达“颠倒是非,混淆黑白”之目的?

 

就这么一个本来不大的事情,高华为了说明毛泽东与中共中央在军事战略方针方面的分歧,而且一定要证明毛泽东是错误的一方,配不上时人和后人对他的粉黛之辞,竟然祭起了捕风捉影、风闻言事乃至偷梁换柱的法宝:两处不过百余字的引证,竟然处心积虑下恁大功夫去做手脚,甚至直接动手删改引证文字的原文!上不得台面的小动作一个接着一个啊?治史论史举证应完整准确地忠实引述证言原文的起码要求,他都可以公然无视!可见其学品和人品低下到了什么程度?就算是死了,好意思着腼着脸皮担戴且享用“史家”的祭祀么?

 

所以,笔者就借此赘笔一书,给他的棺材板上再钉上一个钉!

 

注释

[1]高华《红》书的引证出处是193481日《红色中华》,但笔者查询该日《红色中华》,没有这个报告也没有这段话。与此相似的话是1934131日《红色中华》(第2次全苏大会特刊第5期)所刊《动员广大群众参加革命战争,以革命战争打倒帝国主义国民党!——关于中央执行委员会报告的结论》,《红色中华》全编(整理本)第8册第4613页。

[2]毛泽东:《中华苏维埃共和国中央执行委员会与人民委员会对第二次全国苏维埃代表大会的报告(19341月)》,《中共党史教学参考资料第6册》第518~第519页,中国人民解放军政治学院党史教研室19856月编印。

[3]毛泽东:《动员广大群众参加革命战争,以革命战争打倒帝国主义国民党!——关于中央执行委员会报告的结论(1934131日《红色中华》第二次全苏大会特刊第5期)》,《红色中华》全编(整理本)第8册第4613页。

[4]高华:《红太阳是怎梓升起的》第66页,香港中文大学当代中国文化研究中心2011版。

[5]龚楚:《我与红军》第397页。香港南风出版社民国四十三年一月初版(19541月)。

[6]《龚楚将军回忆录》第513页,香港明报月刊社19785月初版。

[7]《龚楚将军回忆录》第515页,香港明报月刊社19785月初版。

[8]高华:《红太阳是怎梓升起的》第79[注释]125,香港中文大学当代中国文化研究中心2011版。

附:龚楚回忆录

 

作者:双石;来源:双石茶社微信号

责任编辑:向太阳
特别申明:

1、本文只代表作者个人观点,不代表本站观点,仅供大家学习参考;

2、本站属于非营利性网站,如涉及版权和名誉问题,请及时与本站联系,我们将及时做相应处理;

3、欢迎各位网友光临阅览,文明上网,依法守规,IP可查。

昆仑专题

高端精神

国策建言

热点排行
  • 一周
  • 一月
  • 半年
  • 建言点赞
  • 一周
  • 一月
  • 半年
  • 图片新闻

    友情链接
  • 人民网
  • 央视网
  • 新华网
  • 求是
  • 中国军网
  • 中国经济网
  • 中国社会科学网
  • 中国科技网
  • 中国共产党历史和文献网
  • 红色文化网
  • 观察者网
  • 参考消息
  • 环球网
  • 毛泽东思想旗帜网
  • 红旗文稿
  • 红歌会
  • 红旗网
  • 乌有之乡
  • 橘子洲头
  • 四月网
  • 新法家
  • 中红网
  • 激流网
  • 宣讲家网
  • 中共党史网
  • 国史网
  • 全国党建网
  • 中国集体经济网
  • 中国延安精神研究会
  • 西北革命历史网
  • 烽火HOME
  • 俄罗斯卫星通讯社
  • 赵晓鲁律师事务所
  • 备案/许可证编号:京ICP备15015626号-1 昆仑策研究院 版权所有 举报邮箱:[email protected]